- 相關推薦
如何在教學中提高學生數學思維能力
如何在教學中提高學生數學思維能力作者/ 程春 李繼權
摘 要:所謂的數學思維能力就是指能夠用數學的觀點去思考問題。也就是說,作為數學教師,不僅要讓學生掌握基本的數學知識,而且還要培養學生的數學思維能力,它是學習能力的核心。所以,就從邏輯思維能力、創新思維能力、發散性思維能力的培養三個方面進行簡單介紹,以促使學生獲得較為全面的發展。
關鍵詞:高中數學;思維能力;邏輯性;創新性;發散性
高中數學課程應注重提高學生的數學思維能力,這是數學教育的基本目標之一。然而受應試教育的影響,我們的數學教學過于看重學生知識點的掌握情況和學生的數學成績,卻忽視了學生數學價值觀的發揮和數學思維能力的培養。因此,在新課程改革的推動下,教師要根據教材內容的需要,采用多樣化的教學模式,充分發揮學生的主觀能動性,促使學生的數學思維能力得到大幅度提高。
一、滲透分類思想,提高邏輯思維能力
數學中的分類思想是根據數學對象本質屬性的異同把數學對象分為不同種類的思想。它有助于提高學生思維的條理性,使學生在不重復、不遺漏的分類思考中逐步提高學生的邏輯思維能力,從而大幅度提高學生的數學思維能力。
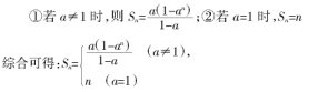
以數列求和Sn=a+a2+…+an為例進行簡單介紹。
解:當a=0時,Sn=0;當a≠0時,此題為等比數列求和。

由于等比數列本身就有一定的限制條件,即等比數列中公比q≠0之后,考慮的是等比數列求和公式的應用條件,即公比q≠1。所以,在解答這道試題的時候,學生的思維一定要嚴謹,這樣學生思維能力的邏輯性才會隨之得到鍛煉和提高。
二、創設問題情境,培養創新思維能力
問題是創新的前提,是學生探究數學活動的基礎。然而,在以往教學過程中,我們過于注重數學知識技巧的掌握,被動式的教學方法使得學生缺少一定的問題意識,所以,在新課程改革的影響下,教師要創設有效的問題情境,讓學生在思考問題、解決問題的過程中逐步培養創新思維,以促使學生獲得更大空間的發展。
例如,在教學《直線與平面平行的判定和性質》時,為了提高學生的探究能力,培養學生的創新思維能力,在本節課的授課過程中我采用了討論法,讓學生思考了以下幾個問題:(1)如何畫出表示直線和平面的三種位置關系的圖形?(2)如何證明如果平面外一條直線和這個平面內的一條直線平行,那么這條直線和這個平面平
行?(3)在什么條件下一條直線和一個平面平行?引導學生思考,并結合教材內容進行證明。需要注意的是,在這個過程中,教師要讓學生進行獨立思考,獨立解決有關的問題,這樣將會大幅度提高學生的創新思維,以提高學生的數學思維能力。
三、鼓勵一題多解,培養發散性思維能力
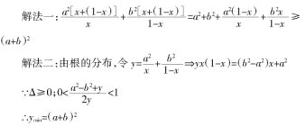
所謂的一題多解是指針對同一道題有不同的解題方法,它有利于鍛煉學生思維的靈活性,活躍思路,讓學生能根據題目給出的已知條件,并結合自身情況,靈活地選擇解題切入點,進而培養學生的發散性思維能力。下面以一個例題為例進行簡單介紹。

……
該題是一道基礎性試題,但不是學生給出答案就可以結束了,教師要鼓勵學生從多角度思考問題,從多方面切入,發散學生的思維,豐富學生的解題方法,以不斷提高學生的解題能力。
總之,在新課程理念的指導下,教師要結合教材,從學生的已有經驗出發,采用多樣化的教學模式,調動學生的學習積極性,使學生在成為課堂主體的過程中,數學思維能力也得到大幅度提高。
參考文獻:
王文明。如何在高中數學教學中培養學生的數學思維能力[J]。學周刊,2012(05)。
(作者單位 程春:重慶市潼南縣塘壩中學 李繼權:重慶市潼南中學)
【如何在教學中提高學生數學思維能力】相關文章:
小學數學教學中如何培養學生的思維能力10-26
在課堂教學中如何培養學生的高階思維能力10-24
淺談英語教學中如何提高學生的閱讀能力08-24
如何提高學生學習數學興趣03-21
如何提高學生學習數學的興趣10-12
如何培養學生的思維能力11-17
如何提高初中數學教學質量10-26
教學活動中如何讓學生“樂說”數學??08-22
如何提高學生學習數學的積極性08-24
如何提高學生習作水平教學反思08-23